yL23411永利官网登录外国语学院2024年硕士研究生招生调剂考生复试名单及安排
时间:2024-04-09 编辑:谭 点击:根据《yL23411永利官网登录2024年硕士研究生招生复试录取工作方案》,结合我院实际,特作如下安排:
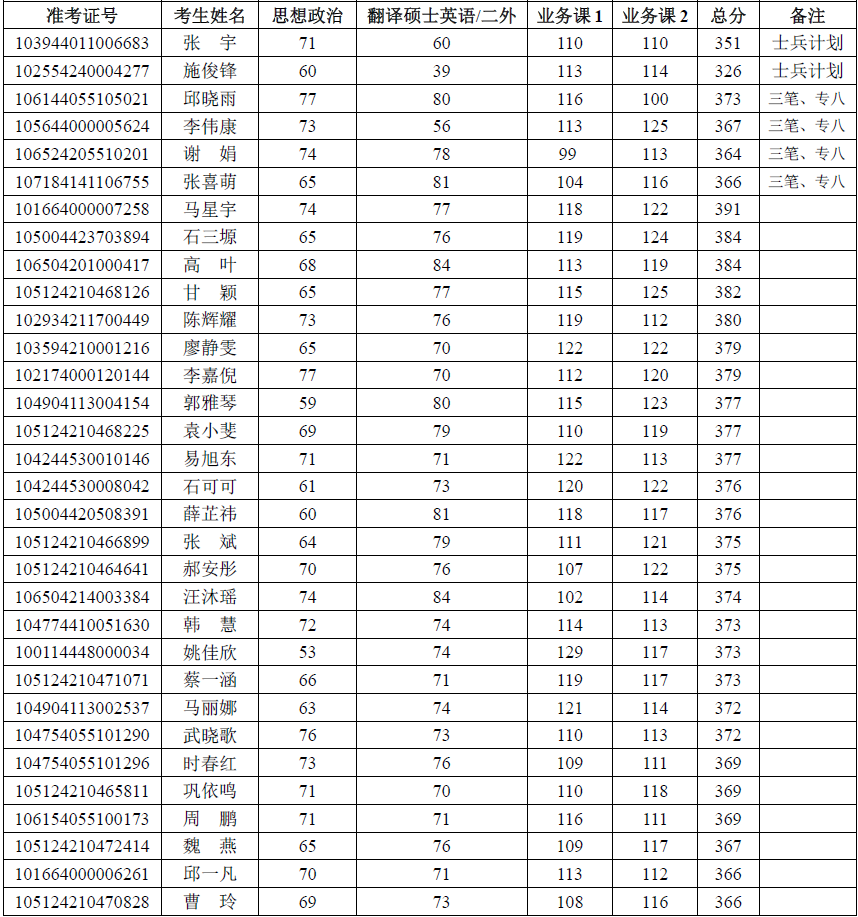
一、调剂考生名单:

二、复试内容及流程
1. 资格审查安排
(1)时间及地点:
2024年4月10日下午14:00-17:30考生报到、接受资格审查(若因特殊原因,考生的资格审查时间可以延长到11号上午8:30综合面试开始前)
地点:外国语学院二楼MTI教育中心
(2)审查内容:
①准考证;
②身份证原件及复印件;
③学籍学历证明材料:往届生准备毕业证和学位证原件及复印件、《教育部学历证书电子注册备案表》或《中国高等教育学历认证报告》;应届本科毕业生交验学生证和《教育部学籍在线验证报告》、所在学校教务部门成绩证明材料;
④报考“退役大学生士兵”专项硕士研究生招生计划的考生除提供上述材料外,还须提交本人《入伍批准书》和《退出现役证》,否则不予录取;
⑤报名定向(考生需提供在学校研究生处网站“资料下载”栏目下载的《定向培养协议书》(考生和用人单位签字盖章)一式三份;
⑥考生应从学校研究生处网站“资料下载”栏目下载《2024年思想政治审核表》填写盖章后在进行思想政治素质和品德考察时提交到外国语学院MTI教育中心;
⑦签订诚信复试承诺书;
2. 复试费
复试费100元/人/次,复试报到时现场缴纳。
3.复试时间安排
复试面试分两批进行:
专业综合面试:
第一批:2024年4月11日8:30开始,“退役大学生士兵”专项计划调剂考生面试。
第二批:2024年4月11日9:00开始,其他调剂考生面试。
地 点:外国语学院
思想政治品德考核:
第一批:2024年4月11日8:30开始,其他调剂考生复试。
第二批:2024年4月11日13:00开始,“退役大学生士兵”专项计划调剂考生面试。
地 点:外国语学院
复试笔试同时进行:
听力测试:2024年4月12上午9:00-9:45;
地点:外国语学院
专业笔试:2024年4月12日上午10:00-12:00;
地点:外国语学院
4. 复试内容安排
(1)专业综合面试
综合面试主要考查考生专业知识及综合素质,满分100分,分值占复试总成绩的70%,时间约20分钟;分三个环节进行:
① 考生用英文自我介绍(3分钟以内),不得透漏个人身份信息。
② 考生现场随机抽题进行回答,包括翻译理论基础知识及翻译实践。
③ 考官根据考生自述内容进行提问。
(2)思想政治品德考核
综合面试之后,由思想政治品德考核小组对考生的政治态度、思想表现、工作学习态度、道德品质、遵纪守法、诚信守信等方面进行考核。考核分为合格、不合格两个等次。
说明:考生通过抽签确定面试顺序。复试全程录音录像。
(3)英语听力测试
主要为客观题型,满分100分,分值占复试总成绩的10%,时间为60分钟
(4)专业笔试
笔试为英文写作,满分100分,分值占复试总成绩的20%,时间为120分钟
(5)同等学力加试
同等学力考生,需加试《应用翻译》《文学翻译》两门课程,考试时间为3小时,满分均为100分,60分及格,加试科目成绩不计入复试总成绩,但必须及格方具有被录取资格。
5. 成绩计算
(1)复试成绩=听力测试成绩×10%+专业笔试成绩×20%+综合面试成绩×70%。
(2)总成绩= 100×(初试总成绩/初试满分)×60%+复试成绩×40%。实行百分制,保留两位小数。
6. 待录取原则
根据按需招生、择优录取、宁缺毋滥的原则,按入学总成绩从高到低依录取,确定拟录取名单。考生的录取按照本专业入学总成绩分普通类调剂考生和“退役大学生士兵”专项计划调剂考生分别排序。
若总成绩相等,按初试总成绩从高到低排序进行录取;若初试总成绩相等,按政治与外语成绩之和从高到低排序进行录取;若政治与外语成绩之和相等,按业务课一成绩从高到低排序进行录取。
有下列情况之一的考生将一票否决,不予录取:
(1) 资格审核或体检不合格者不予录取。
(2) 思想政治素质和品德考核不合格者不予录取。
(3) 复试过程中弄虚作假者、舞弊者不予录取。
(4) 复试不合格者不予录取(复试成绩低于60分则为不合格。复试中的听力测试、专业笔试、综合面试三项中的任一项成绩低于60分为不合格,不予录取)
(5)加试科目中有任何一门不合格者不予录取。
7. 体检
考生在拟录取名单公布后一周之内,自行选择二级甲等以上医院进行体检。调剂拟录取考生于4月30号前通过邮寄或发送清晰电子文档(E-mail: 948510580@qq.com)的方式将体检报告提交给外国语学院。考生也可选择到yL23411永利官网登录附属医院体检(周一至周六上午)。
8. 考生注意事项及咨询渠道
(1)若考生因特殊原因自愿放弃复试录取资格,在上报学校之前其名额由我院按录取规则递补录取。
(2)复试前对考生的居民身份证、学生证、学历学位证书、学历学籍核验结果等进行严格审查核验,对不符合规定者,不予复试。
(3)依照《2024年全国硕士研究生招生工作管理规定》(教学〔2023〕2号),学院复试工作领导小组认为有必要时,可对相关考生再次复试。
(4)入学后3个月内,校研招办按照《普通高等学校学生管理规定》有关要求,对所有考生进行全面复查。复查不合格的,取消学籍;情节严重的,移交有关部门调查处理。
(5)联系咨询
地址:湖北省恩施市学院路39号yL23411永利官网登录外国语学院MTI教育中心(文汇楼2楼)
联系人及电话:0718-8439036-8008(MTI教育中心办公室)
陈老师 15172912709;刘老师13997753925
(6)投诉及申诉电话
赵老师:0718-8439036-8007
yL23411永利官网登录外国语学院
2024年4月9日







